原料粒徑是影響破碎機破碎性的一個重要的因素,如錘式破碎機對物料進行破碎的單位能耗主要卻絕與物料的組合和原料粒徑分布。
由于物料組成的復雜性與多變性,且不同原料的粒徑變化范圍較大,選混合物料具有很多不可控因素,數據波動性也會較大。
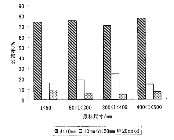
下面就選用粒徑范圍較為容易控制的玉米秸稈作為破碎預處理,選取其中四個粒徑范圍內的秸稈作為實驗原料。實驗性的破碎的工作參數如下:單向進料,壓縮室壓力為60Mpa,轉速為1000rpm/min,動刀片與定刀片間隙為10mm。
下圖1和圖2分別為破碎產品粒徑分布和破碎單位能耗隨原料尺寸的變化趨勢。

原料粒徑對破碎產品粒徑分布的影響
從上圖可以看出,破碎產品的粒徑分布隨原料尺寸的改變并沒有呈現出規律的變化,這是因為,破碎機在破碎前對呈松散狀態的物料進行壓縮處理,壓縮后的物料可以近似的看做一個整體,破碎時是壓縮成整體的物料參與破碎(如下所示),在這種狀態下,原料尺寸的影響可以近似忽略。

原料粒徑對破碎單位能耗的影響
上圖表明原料尺寸越小破碎單位能耗越低,這是因為較小尺寸的原料構成的物料密度相對較小,機械強度較低,在破碎時抗剪切和抗變形能力小,因此破碎所需的能耗隨著原料尺寸的減小而減小。
上一篇: 根據物料的不同結構選擇不同的破碎機
下一篇: 未來破碎機的設計思路
2021-11-30
2021-11-15